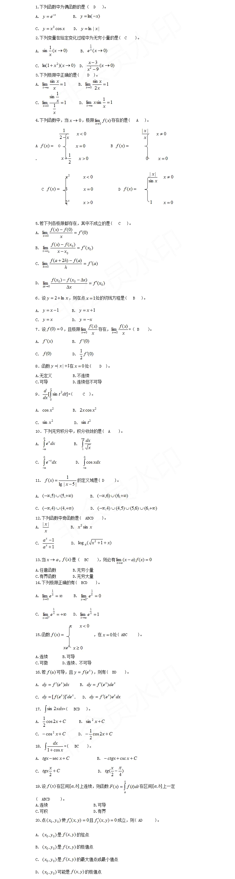
2020成人高考专升本《高数一》常考试题四
发布时间:2020-05-112020成人高考专升本《高数一》常考试题四

以上是关于“2020成人高考专升本《高数一》常考试题四”的全部内容,想获取更多关于贵州省成人高考的相关资讯,如贵州成考报名时间、报考条件、成考院校、贵州成考专业等,敬请关注贵州成考网(m.gzck.gz.cn)。
想要轻松拿下国家承认学历吗?不知道怎么办?
【贵州成人高考预报名指导入口>>>】
相关文章推荐
-
2020年成考专升本《高数一》:一元函数积分学
发布时间:2020-10-15 -
贵州成考专升本《高数一》:空间解析几何
发布时间:2020-10-15 -
2020年贵州成考专升本《高等数学一》模拟试题一
发布时间:2020-09-30 -
2020年贵州成考专升本《高等数学一》模拟试题二
发布时间:2020-09-30 -
2020年贵州成考专升本《高等数学一》模拟试题四
发布时间:2020-09-30 -
2020年贵州成考专升本《高等数学一》模拟试题三
发布时间:2020-09-30


首页
网上报名
在线咨询