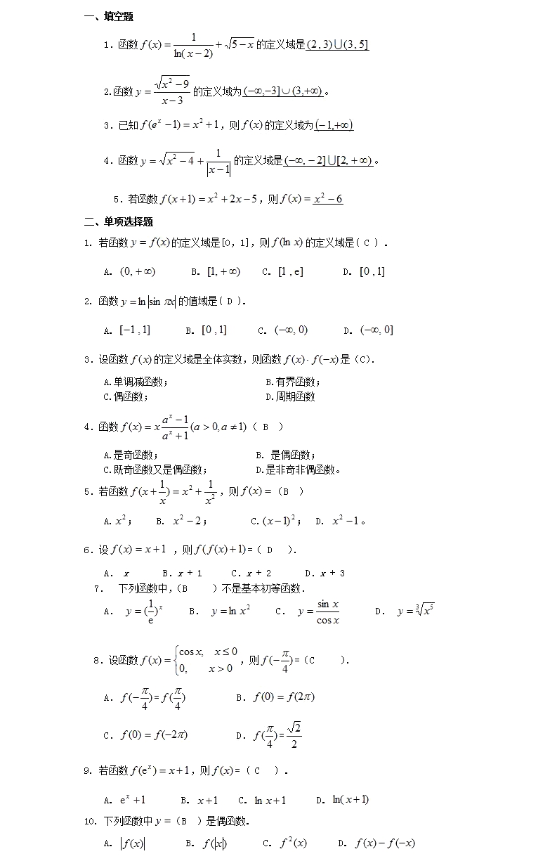
2020年成人高考高起点《文数》模拟试题及答案一
发布时间:2020-06-132020年成人高考高起点《文数》模拟试题及答案一

以上是关于“2020年成人高考高起点《文数》模拟试题及答案一”的全部内容,想获取更多关于贵州省成人高考的相关资讯,如贵州成考报名时间、报考条件、成考院校、贵州成考专业等,敬请关注贵州成考网(m.gzck.gz.cn)。
想要轻松拿下国家承认学历吗?不知道怎么办?
【贵州成人高考预报名指导入口>>>】
相关文章推荐
-
贵州25022年成人高考大专《文科数学》——精选试题(四)
发布时间:2022-05-31 -
贵州2022年成人高考大专《文科数学》——精选试题(三)
发布时间:2022-05-31 -
2021年贵州成人大专数学模拟试题及参考答案
发布时间:2020-12-18 -
2020贵州成考高起点《文科数学》模拟试题1
发布时间:2020-10-12 -
2020贵州成考高起点《文科数学》练习题:三角函数的图像和性质
发布时间:2020-10-12 -
2020年贵州成考高起点《文数》试题及答案一
发布时间:2020-09-27


首页
网上报名
在线咨询