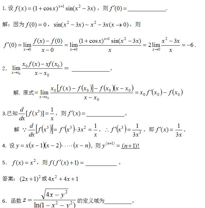
2020年贵州成人高考高起点《数学》模拟题及答案二
发布时间:2020-06-122020年贵州成人高考高起点《数学》模拟题及答案二

以上是关于“2020年贵州成人高考高起点《数学》模拟题及答案二”的全部内容,想获取更多关于贵州省成人高考的相关资讯,如贵州成考报名时间、报考条件、成考院校、贵州成考专业等,敬请关注贵州成考网(m.gzck.gz.cn)。
想要轻松拿下国家承认学历吗?不知道怎么办?
【贵州成人高考预报名指导入口>>>】
相关文章推荐
-
2020年贵州成人高考高起点《数学》模拟题及答案一
发布时间:2020-06-12 -
2020年贵州成人高考高起点《数学》模拟题及答案二
发布时间:2020-06-12 -
2020年贵州成人高考高起点《数学》模拟题及答案三
发布时间:2020-06-12 -
2020年贵州成人高考高起点《数学》模拟题及答案四
发布时间:2020-06-12 -
2020年贵州成人高考高起点《数学》模拟题及答案五
发布时间:2020-06-12 -
2020年贵州成人高考高起点《数学》模拟题及答案六
发布时间:2020-06-12


首页
网上报名
在线咨询